Wyoming's Most Listened to Political Podcast
Podcasts
Show Content
Show Notes
Show Transcripts
About David
Articles
Sponsors
Contact Us
Podcasts
Show Content
Show Notes
Show Transcripts
About David
Articles
Sponsors
Contact Us
All Things Zwonitzer
The 36 Redcoats List
Zwonitzer Documents 1
Zwonitzer Documents 2
Barlow's Letter to the House
Zwonitzer's Respone to Allegations
Billings Gazette Voter Fraud Article
Voter Fraud Transcript
Information Request From LC Clerk
Zwonitzer Voted in September Document
Statewide Voter Registration 9/2021
Statewide Voter Registration 1/27/2022
Why the Little Box, Dan? Transcript
Dave's Visual Aid for Zwonitzer
Zwonitzer Says This is Ludicrous
Redcoats Lose In Court
Nothing is What it Seems Transcript
WTE Zwonitzer in an Apartment?
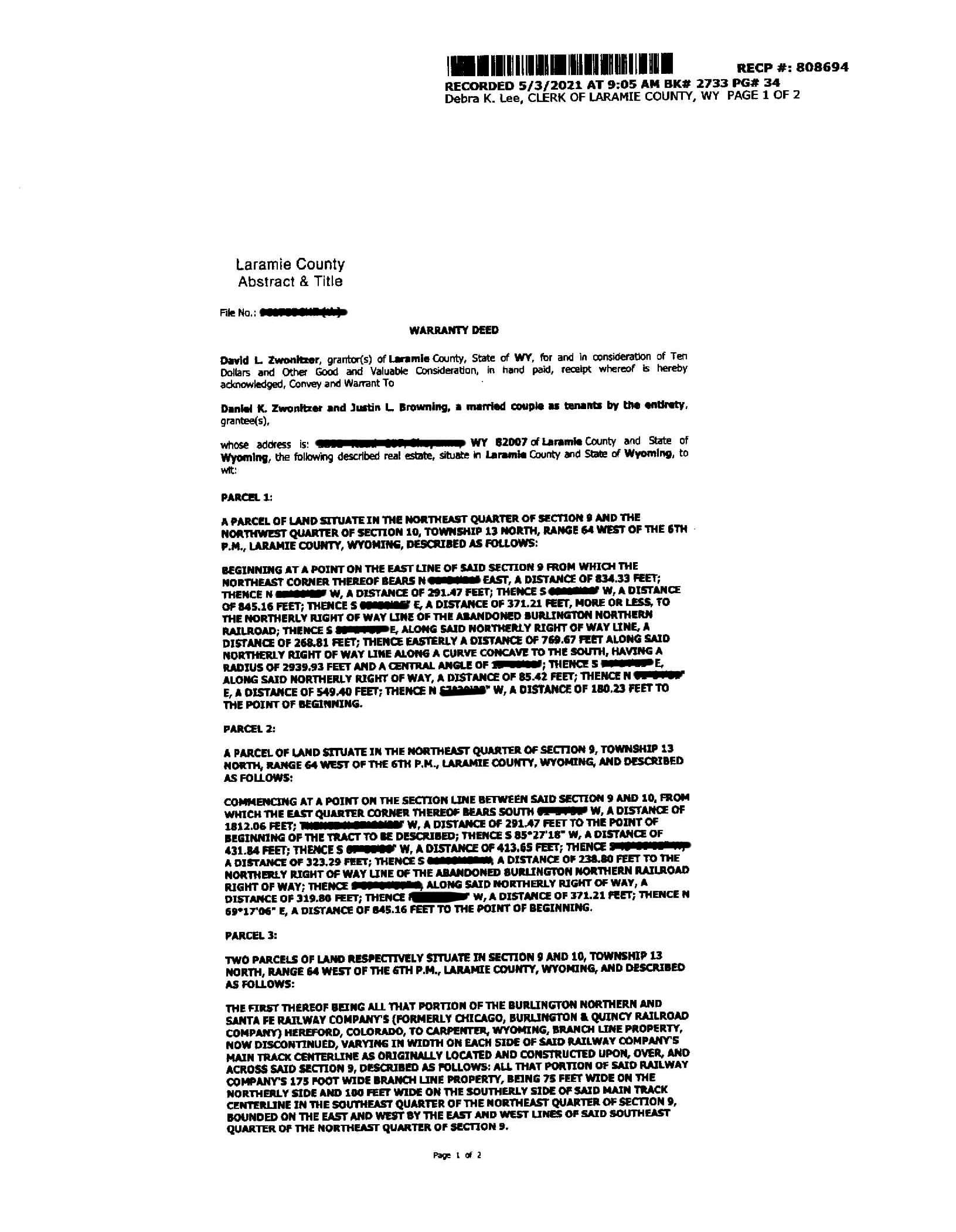
Zwonitzer's Property Deed Copy
Back to 2022 Show Notes